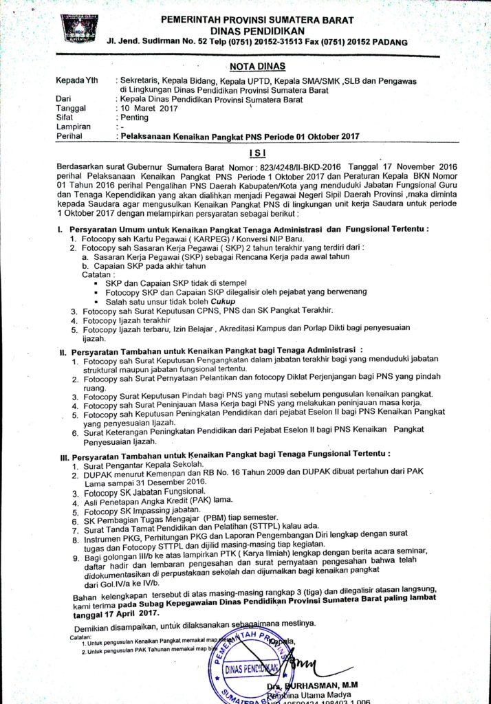
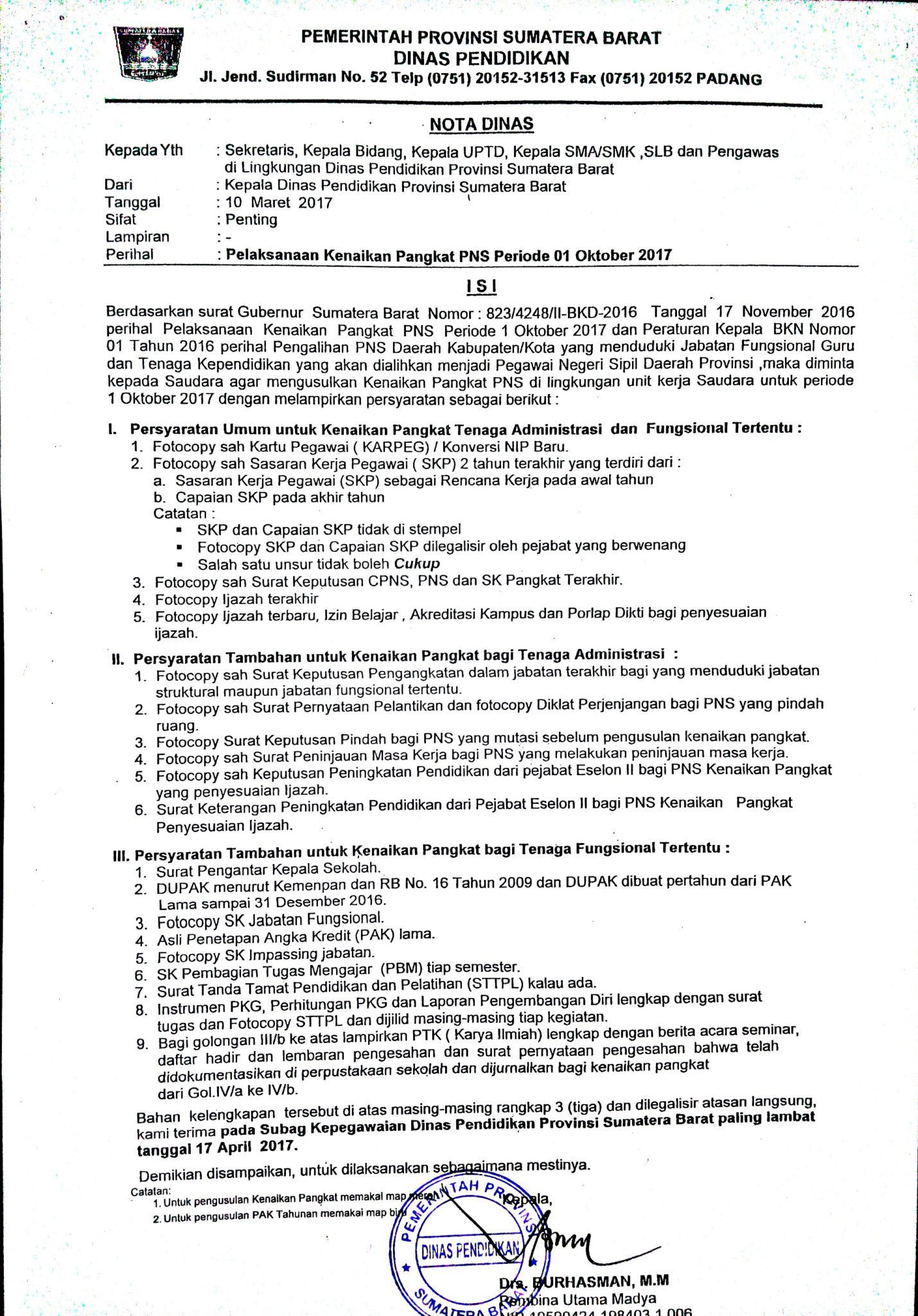
Persyaratan dan Prosedur kenaikan pangkat tenaga pendidik dan kependidikan SMA dan SMK se Sumatera Barat, periode 01 Oktober 2017 di lingkungan Dinas Pendidikan Provinsi Sumatera Barat.
Untuk informasi lebih lanjut hubungi Subag Kepegawaian pada Sekretariat Dinas Pendidikan Provinsi Sumatera Barat.
Silahkan Download Kenaikan pangkat.pdf
Dinas Pendidikan Sumatera Barat Dinas Pendidikan Provinsi Sumatera Barat
